原油进厂环节作为炼化企业生产的首要环节,是连 接原油供应端与炼化生产端的关键纽带 [1-3]。该环节面 临着诸多挑战:首先,原油来源多样,导致种类与品质 差异显著,同时进厂过程涉及海运、管道、铁路等多种 运输方式,不同运输方式都有其独特的技术要求、成本 结构和运输能力限制 [4,5] ;其次,原油供应和炼厂的生产 计划都有严格的时间要求,若原油不能按时进厂,可能 导致炼厂装置停工待料,造成巨大经济损失 [6] ;此外, 为保证炼厂连续生产,需要储备一定量的原油,但过高 的库存会增加库存持有成本 [7] ;同时,码头泊位、储罐、 管道等设备的容量和处理能力有限,因此要合理安排 设备 [8]。
近年来,许多学者在原油进厂调度的建模和优化问 题中进行了深入的研究。在调度模型构建方面,SU 等 [9] 以利润最大化为目标建立了原油调度模型,虽然模型易 于处理,但输出的调度方案过于简单。WU 等 [10] 提出了 一种三阶段方法以实现混油状态下的原油调度,模型求 解效率高,但将时间因素与空间因素分离建模,导致时空匹配不精确。XU 等 [11] 首次开发了同时调度原油运输 和原油加工的方法,将调度模型分解为两个子模型,虽经验证调度方案有效,但不是全局最优解。
在求解方法方面,随着调度问题规模的不断扩大, 传统数学规划方法的计算复杂度呈指数级增长,难以直 接应用于大规模原油调度问题。因此,早期多采用启发 式算法求解原油调度模型 [12-14],然而,这类算法难以严 格保证所有约束条件得到满足,为工艺安全和产品质量 埋下隐患。目前针对原油调度求解的方法朝着组合优化 的方向发展,HE 等 [15] 使用数学规划和粒子群优化相结 合的混合优化算法(MP/PSO)进行求解,试验结果表明, 在大规模原油调度场景中,MP/PSO 的性能优于 PSO 和 人工调度。TAO 等 [16] 提出了一种结合数学规划与强化 学习的混合求解框架,在保持强化学习高计算效率与良 好可扩展性的同时,相较于基于惩罚项的方法提供了更 强的约束满足能力和安全保障。因此,根据原油调度模 型特征运用合理的组合优化方法,对于提升大规模调度 问题的求解效率和解的最优性具有重要意义。
综上所述,尽管已有多种原油进厂调度方法,但在 实际应用中仍存在不足。一方面,多数原油进厂调度模 型将时间和空间因素分开考虑,无法准确刻画原油在运 输和存储过程中的时空耦合关联及相互制约 [17] ;另一方面,面对大规模的原油调度问题,求解效率大幅下降, 难以在合理时间内得到最优方案 [18,19]。
针对上述问题,本文提出了一种基于时空网络的原 油进厂调度模型,并结合拉格朗日松弛算法与数学规划实现高效求解,主要贡献体现在以下 3 个方面。
1)从时空一体化角度对原油进厂调度过程进行建模,将空间位置和时间阶段作为整体,建立了融合多式联运、罐容动态、原油属性等因素的时空网络模型,为精益调度提供模型基础。
2)针对所建模型规模大、约束耦合强的特点,开 发了高效的拉格朗日松弛算法,并与数学规划方法相结 合,通过合理松弛关键约束实现问题求解,显著提高大 规模问题的求解效率和方案质量。
3)通过实际案例应用,验证模型和算法的有效性和实用性,证明其在降低成本、提高效率等方面的优势, 为炼化企业实现精益化、智能化调度提供了一套可复现、 可扩展的决策支持工具。
1 原油进厂时空网络模型构建
本章首先介绍时空网络理论的基本概念及其建模原 理,系统分析原油进厂系统的组成要素、业务流程与相 关约束条件,在此基础上明确调度优化目标。进一步构 建以最小化原油运输成本和存储状态转移成本为目标的 混合整数非线性规划模型(MINLP),通过时空网络刻 画原油在不同时空节点之间的流动过程,并在模型中综 合考虑流量平衡、容量限制以及混合比例等关键约束条 件,体现调度过程中的精益化控制与资源高效利用思想。
1.1 时空网络理论
时空网络理论是融合空间拓扑关系与时间动态特性 的复杂网络建模方法,其核心在于将空间位置与时间阶 段作为整体,通过结构化的时空节点与时空弧刻画资源 在时空维度的流动及分配方式 [20-23]。时间 - 空间网络如 图 1 所示,其中时空节点表示“在特定时间点的物理位 置”,表征资源的静置状态。时空弧连接两个时空节点 的有向边,代表资源在“时间间隔”与“空间距离”上的转移过程。时空路径是由一系列时空弧有序连接形成的路径,描述资源从初始状态到目标状态的完整流转过 程 [24]。
时空网络的建模逻辑,克服了传统模型中“时间与 空间分离处理”的局限,尤其适用于原油进厂这类“运 输耗时不可忽略、空间资源有限、时间约束严格”的场景 [25]。对于原油进厂场景,运输环节通过时空弧刻画多 式联运的时间与成本,库存环节通过时空节点描述罐区 的动态容量,加工环节通过时空节点的“需求时间窗口” 约束最终交付,从而实现全流程调度。

时空网络的建模逻辑,克服了传统模型中“时间与空间分离处理”的局限,尤其适用于原油进厂这类“运 输耗时不可忽略、空间资源有限、时间约束严格”的场景 [25]。对于原油进厂场景,运输环节通过时空弧刻画多 式联运的时间与成本,库存环节通过时空节点描述罐区 的动态容量,加工环节通过时空节点的“需求时间窗口” 约束最终交付,从而实现全流程调度。
1.2 原油进厂问题概述
原油进厂系统主要包含原油来源地、运输方式、炼 厂罐区以及炼厂装置。原油来源地包括国内外油田、贸 易港口等,其所含信息为原油种类、供应量、供应时间 窗口。运输方式涵盖海运、管道以及铁路等,其关键参 数为运输能力、运输时间、单位成本与技术约束。炼厂 罐区为炼厂自有设施,包括码头泊位、中间罐区、调和 罐区等,其核心属性为处理能力、罐容限制与操作规则。 炼厂装置主要为常减压装置、催化裂化装置等,其主要 约束为加工量、原油品质要求、混炼规则与时间计划。 这些要素串联成一个有机整体:来源地的原油经运输工 具送达接收码头,卸载至中间罐区暂存,再经调和罐区 按比例混合后,最终输送至炼厂装置加工 [26]。
1.3 目标函数
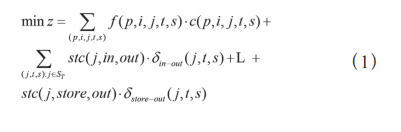
原油进厂调度模型的目标是最小化原油运输成本和 存储罐状态转移成本之和,如式所示,
其中,∑ (p,i,j,t,s) f (p,i,j,t,s)・c(p,i,j,t,s) 为原油运输成本, 对所有运输路径,将原油流量f (p,i,j,t,s) 与对应的运输成 本 c(p,i,j,t,s) 相乘并求和。第二部分是存储罐状态转移成 本,对存储罐集合 ST 中满足时间先后关系的时间点,将 不同状态转移的成本(如 stc(j,in,out))与对应的状态转 移二进制变量(如 δ in-out(j,t,s))相乘并求和,最终得到 总成本 z,并通过求解使其最小化。p 表示原油种类,i 和 j 表示网络节点, t 和 s 表示时间将整个调度过程划分 为多个离散的时间周期,stc 为状态转移成本变量,δ 为 状态转移二进制变量,in 表示流入,out 表示流出,store 表示静置。
1.4 约束条件
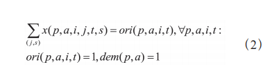
节点流量平衡约束用于刻画原油进厂调度过程中各 类节点的流量守恒关系,对源节点、目标节点以及中间 节点的原油流入与流出量进行约束,其数学表达式如下 
所示:其中,x 表示原油运输路径,a 表示原油批次,ori 为源节点供应指示二进制变量,dem 为原油供应指示二 进制变量。对于源节点,该约束确保从该节点流出的所 有原油运输路径数量之和等于源节点的供应量指示值。 即只有当源节点有供应时,才会有相应的流出路径。
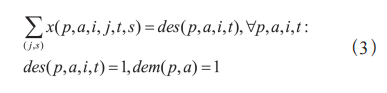
同理对于目标节点,约束(3)保证流入该节点的 所有原油运输路径数量之和等于目标节点的需求量指示值,确保需求得到满足,des 为目标节点供应指示二进制变量。
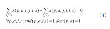
对于中间节点,约束(4)要求流入该节点的原油 运输路径数量等于流出该节点的原油运输路径数量,来 保证中间节点的流量平衡,mid 为中间节点供应指示二进制变量。
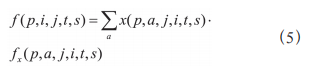
式定义了原油p 从节点 到节点 j 在时间区间 [t,s] 内 的流量 f (p,i,j,t,s) 等于所有原油在该路径上的运输选择 x (p,a,j,i,t,s) 所对应流量 fx (p,a,j,i,t,s) 之和,建立了流量与 运输路径选择之间的关系。
式(6)为管线能力约束,确保所有种类原油在该 路径上的总流量不超过该路径的管道能力,防止出现过 载情况,cap 为管线运输能力变量。 对于存储罐集合 ST 中的存储罐 j,式(7)表示如 果存储罐在时间 t 处于进油状态,即 yin(j,i)=0,则从其 他节点流入该存储罐的原油p 的总流量受链路容量限制; 如果不处于进油状态,即 yin(j,i)=0,由于大 M 法的作用, M 为一个很大的常数,这里取值为 1e7 ,流入流量必须 为 0。同理 yout(j,i) 收油状态变量和 ystore(j,i) 存储状态变 量也可以用式(8)、式(9)进行约束。
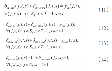
式(10)保证存储罐在同一时间只能处于进油、出油、 存储三种状态中的一种,因为三个二进制变量之和最大为1。
式(11)表示对于存储罐集合 ST 中满足时间先后关 系的时间点,如果存储罐在时间 t 处于进油状态,则从 进油状态转移到出油状态或存储状态的状态转移二进制 变量之和为 1 ;如果不处于进油状态,则这两个状态转 移变量都为 0,同理式(12)、式(13)分别约束出油状态和静置状态。式(14)保证在每个时间间隔内,存储 罐的状态转移情况是确定的,所有可能的状态转移二进 制变量之和为 1,表示必然发生一种状态转移。
对于最终顶点(fve(j,s)=1),式(15)确保流入该节 点的每种原油p 的流量占所有原油总流量的比例等于规 定的混合比例 fra(p,j),满足目标节点的混合要求。
2 拉格朗日松弛算法设计
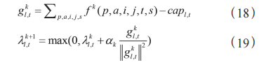
拉格朗日松弛算法通过引入拉格朗日乘子将模型中 复杂约束松弛后加入目标函数中,通过求解新的数学规 划,迭代拉格朗日乘子,从而提高求解效率 [27-29]。采用 拉格朗日松弛算法,通过迭代优化惩罚系数逼近最优解, 具有以下优势:可分解强耦合约束,将主问题拆分为独 立的“种类 - 批次子问题”;次梯度法对乘子的更新机制 适配线性约束,收敛稳定;适用于大规模 MINLP 模型, 可在有限时间内获得高质量解 [30]。 在本文模型中,管道能力约束是模型的强耦合点, 需整合所有p 和 a 的流量,导致变量与约束的关联度极 高,直接求解时可行解空间搜索效率极低,商用求解器 难以在合理时间内收敛。 为了松弛管道能力约束式(6),引入非负拉格朗日 乘子 λ l, t ,表示管道 l 在 t 天的“影子价格”,将管道能 力约束松弛至目标函数,如式(16)所示,表征流量超 过管线能力时就会受到惩罚:
l(λ) 可拆分为“主问题 + 子问题”,子问题按p(原 油种类)和 a(原油批次)独立求解,即每个子问题 SP(p,a) 仅涉及单一批次单类原油的变量,规模小、求解 快,目标为:
其中 为运输成本系数,其他成本包括单一种 类批次的存储状态转移成本等,每个 SP(p,a) 为小规模
MILP,求解子问题首先固定 λ,忽略其他油种变量和 批次变量,利用商业求解器(如 Gurobi)求解,获得对 应的最优流量与库存。所有子问题并行求解(基于 Dask 分布式框架),提升整体计算效率。
拉格朗日乘子的迭代本质是求解对偶问题。在拉格 朗日松弛中,原问题的约束被松弛到目标函数中,形成 拉格朗日对偶问题。由于对偶问题通常是非光滑凸优化 问题,无法使用传统梯度法,因此采用次梯度算法更新 乘子,通过计算次梯度
,更新乘子
、步长 ak,自 表 1 适应衰减,平衡收敛速度与精度。如式(18)所示,次 梯度为当前子问题求解的流量与管线额定能力之差,随 迭代次数增加逐步减小,当迭代次数 k ≥ K 或相邻两次 目标函数值差值小于 ε 时,停止迭代;若存在超量管道 流量,执行可行解修复,调整超量流量至其他时段或管 道。算法总体流程见表 1。

在实际原油进厂调度中,系统常面临多种不确定因 素的干扰,主要包括:1)物流延迟(如船舶到港延误、 管道输送波动);2)市场价格波动(原油成本、运输费 率变动);3)需求与生产计划调整(炼厂加工量、原油 配比变化)。为确保调度方案的可行性与经济性,本文 模型与算法在设计时已融入一定的鲁棒性考量:模型中 的存储罐安全库存与码头泊位时间窗,可吸收一定范围 内的到港延迟。当船舶延误时,安全库存可保障装置连 续进料,避免停产;模型中的运输成本、库存成本等参 数可便捷替换;拉格朗日松弛算法的次梯度优化具备良 好的收敛稳定性,在面对参数小幅扰动时,能通过多次 迭代逼近新的次优解,为在线调整提供计算基础,可行 解修复机制(算法流程第 7 步)能确保在不确定场景下 生成的初步方案,可通过规则快速调整为可行解,满足 实际操作中的硬约束。
3 案例应用与结果分析
3.1 案例背景描述
选取我国沿海地区某特大型炼化企业(年加工能力 3 000 万 t)作为案例研究对象。该企业是国内重要的成 品油生产基地,原油加工量占全国总量的 5%,其原油 进厂系统涉及多来源、多运输方式、多设施协同,调度 复杂度在行业内具有典型代表性。
研究对象涉及 7 类原油,具体信息见表 2。案例中 节点功能与参数见表 3。以天为单位,研究周期 30 天, 覆盖一个完整的月度调度周期,海运单位成本 35 元 / t(含港杂费),管道输送成本 0.09 元 /t,铁路运输成本 0.18 元 /t,罐区状态转移成本 8 000 元 / 次 , 码头泊位单 日最大靠泊量 N1=2 艘、N2=1 艘,管道最大日输送量为 8 000 t,储罐安全库存 N5~N7 为总容量的 30%,调和罐 区 N8、N9 的原油混合比例要求 p1+p4+p7 ≥ 60%(轻质原油占比)。
3.2 试验设计
将本文所提出的时空网络模型 + 拉格朗日松弛算 法优化应用在上述案例上,分析实验结果,并将企业现 行调度方案(基于人工经验)作为基准场景,在此基础上扩展规模,原油批次从 30 批增至 80 批,测试模型扩 展性。对比本文算法与 Gurobi 求解器、改进遗传算法 (GA)的性能(求解时间、解质量)。所有实验都在以 下环境下操作:Intel Xeon Platinum 8358 处理器(32 核), 128GB 内存;Python 3.7,Gurobi 10.01,算法并行化基 于 Dask 分布式计算框架(启用 10 个工作节点)。
3.3 结果展示与分析
总成本优化效果如图 2 所示,与基准方案对比,优 化方案在每个成本项上都有改进,尤其是在滞期费和混 油损失上更为明显,这表明方案通过精细化的时空资源 编排,从根本上降低了受价格波动影响较大的风险成本 项。在实际运营中,若海运或管道运费发生波动,只需 在模型输入参数中更新成本系数,即可快速生成新经济 性条件下的最优调度方案,基准方案的总成本为 16 350 万元,优化方案总成本为 13 100 万元,降低了 3 250 万元, 降低比例为 19.88%。
本文方法求解出的原油进厂调度甘特图如图 3 所 示,截取了第5天到第15天的调度方案。分析图 3 可知, 码头泊位利用率从 60% 提升至 85%,管道满负荷运行 时间占比从 55% 提升至 78% ;缓冲罐区(N5~N7)日均 库存标准差从 1.2 万 t 降至 0.5 万 t,避免超储或断供风险,也表明我们的调度方案能充分应 对到港延误,例如,若某 VLCC 油轮 延迟到港 1~2 天,系统可调用对应原 油缓冲罐区的安全库存,确保常减压 装置连续进料,同时动态推迟该油轮 的后续卸货与转输计划,避免码头拥 堵;调和罐区(N8~N9)对装置需求 的响应延迟从 4 h 缩短至 1.5 h,当装 置加工计划临时调整时,模型可基于 最新需求,在数分钟内重运行,快速计算从罐区到装置的输送计划,并通过时空节点直接映 射到操作指令,实现“需求变化 - 调度响应”的快速闭环。
不同算法性能对比见表 4,本文的拉格朗日松弛算 法求解时间仅为 Gurobi 的 14.9%,在 80 批原油的大规 模场景下仍能保持高效求解;解质量接近 Gurobi(差距 <0.5%),远优于启发式算法,且 100% 满足约束(遗传 算法存在 8% 的约束违反,需人工调整)。



4 结论 本研究围绕原油进厂调度优化这一核心问题,从精 益智能调和视角构建了基于时空网络的原油进厂方案优 化模型,确定了以最小化运输成本和存储罐状态转移成 本为目标的目标函数,并考虑了节点流量平衡、能力、 存储罐状态等多种约束条件。为求解该模型,设计了拉 格朗日松弛算法,通过引入拉格朗日乘子将复杂约束松 弛后加入目标函数,将主问题拆分为独立的子问题进行 求解,并采用次梯度法更新乘子,提高了求解效率,完 成智能决策。最后,以我国沿海地区某特大型炼化企业 为案例进行验证,实验结果表明所构建的时空网络优化 模型能精准刻画原油进厂调度中的复杂时空约束与多因 素耦合关系,可显著提升调度方案的经济性;所设计的 拉格朗日松弛算法在求解大规模实际问题时,在效率与 质量上均展现出显著优势,能够满足实时调度需求,具 备良好的工程应用潜力。
参考文献:
[1] Li F, Yang M, Du W, et al. Development and challenges of planning and scheduling for petroleum and petrochemical production[J]. Frontiers of Engineering Management, 2020, 7(3): 373-383.
[2] 韩彪,尚超,江永亨,等.面向对象的炼油厂全厂调度优化 模型及程序框架[J].化工学报,2022,73(04):1623-1630.
[3] HAN B, SHANG C, JIANG Y H, et al, Object-Oriented Refinery Plant-Wide Scheduling Optimization Model and Program Framework[J]. Journal of Chemical Industry, 2022, 73(04): 1623-1630.
[4] C. T E V, M. B W. The refinery of the future[J]. Nature, 2024,629(8011):295306.
[5] Dixit, Yash, et al. Carbon intensity of global crude oil trading and market policy implications[J]. Nature Communications 14.1 (2023): 5975.
[6] Youshan, G. A. O., et al. Analyses of the energy consumption and emissions of crude oil transportation[J]. Journal of Mechanical Engineering 2012,48.(20) : 147-152.
[7] Santander, Omar, et al. A machine learning framework for improving refinery production planning[J]. AIChE Journal 69.8 (2023): e18109.
[8] Yu, Li, Min Chen, and Qiang Xu. Simultaneous scheduling of multi-product pipeline distribution and depot inventory management for petroleum refineries[J]. Chemical Engineering Science 220 (2020): 115618.
[9] WENKAI, LI, et al. Scheduling crude oil unloading, storage, and processing[J] .Industrial & engineering chemistry research 41.26 (2002): 6723-6734.
[10] SU L, BERNAL D E, GROSSMANN I E, et al. Modeling for integrated refinery planning with crude-oil scheduling[J]. Chemical Engineering Research and Design, 2023, 192: 141-157.
[11] WU N, BAI L, ZHOU M. An Efficient Scheduling Method for Crude Oil Operations in Refinery With Crude Oil Type Mixing Requirements[J]. IEEE Trans. Systems, Man, and Cybernetics: Systems, 2016, 46(3):413-426.
[12] XU J, ZHANG S, ZHANG J, et al. Simultaneous scheduling of front-end crude transfer and refineryprocessing[J]. Computers and Chemical Engineering, 2016, 96212-236.
[13] HOU Y, WU N, LI Z. A genetic algorithm approach to short term scheduling of crude oil operations in refinery[J]. IEEJ Transactions on Electrical and Electronic Engineering, 2016, 11(5): 593-603.
[14] SALGADO C P, MOTA D D, CAVALCANTI A M P, et al. Quantum-Inspired Genetic Programming Algorithm for the Crude Oil Scheduling of a Real-World Refinery[J]. IEEE Systems Journal, 2020,1-12.
[15] Liu Xianxin, et al. Multi Objective Optimization for Short Term Scheduling Considering Crude Oil Mixing Requirements Based on Improved NSGA III[J]. Asia Pacific Journal of Chemical Engineering (2025): e70008.
[16] He Renchu, et al. Knowledge-assisted hybrid optimization strategy of large-scale crude oil scheduling integrated production planning[J]. Computers & Chemical Engineering 192 (2025): 108904.
[17] Tao Zhineng, Haoran Li, and Tong Qiu. A Hybrid Framework of Intrinsic Constraint Handling and Safe Reinforcement Learning for Crude Oil Scheduling[J]. Computers & Chemical Engineering (2025): 109480.
[18] Schneider, Guilherme Alceu, et al. A mathematical programming approach to optimize the scheduling of tanks in oil refineries[J]. IEEE Latin America Transactions 14.2 (2016): 818-830.
[19] Yu, Li, Sujing Wang, and Qiang Xu. Optimal scheduling for simultaneous refinery manufacturing and multi oilproduct pipeline distribution[J]. Computers & Chemical Engineering 157 (2022): 107613.
[20] Franzoi, Robert E., et al. Large-scale optimization of nonconvex MINLP refinery scheduling[J]. Computers & Chemical Engineering 186 (2024): 108678.
[21] Kliewer N, Mellouli T, Suhl L. A time–space network based exact optimization model for multi-depot bus scheduling[J]. European journal of operational research, 2006, 175(3): 1616-1627.
[22] WANG Y, PENG S, GUAN X, et al. Collaborative logistics pickup and delivery problem with eco-packages based on time–space network[J]. Expert Systems with Applications, 2021, 170: 114561.
[23] Murakami K. Time-space network model and MILP formulation of the conflict-free routing problem of a capacitated AGV system[J]. Computers & Industrial Engineering, 2020, 141: 106270.
[24] XIN J, WEI L, D’ARIANO A, et al. Flexible time–space network formulation and hybrid metaheuristic for conflictfree and energy-efficient path planning of automated guided vehicles[J]. Journal of Cleaner Production, 2023, 398: 136472.
[25] Lai, Qiang, and Peng Chen. LEISN: A long explicit– implicit spatio-temporal network for traffic flow forecasting[J]. Expert Systems with Applications 245 (2024): 123139.
[26] Li Jingting, et al. Parallel Spatiotemporal Network to recognize micro-expression[J]. Neurocomputing 2025,636: 129891.
[27] YANG H, BERNAL D E, FRANZOI R E, et al. Integration of crude-oil scheduling and refinery planning by Lagrangean Decomposition[J]. Computers & Chemical Engineering, 2020, 138: 106812.
[28] Zhang, Yiming, Oliver Yang, and Haomei Liu. A Lagrangean relaxation and subgradient framework for the routing and wavelength assignment problem in WDM networks[J]. IEEE Journal on Selected Areas in Communications 22.9 (2004): 1752-1765.
[29] Mouret S, Grossmann I E, Pestiaux P. A new Lagrangian decomposition approach applied to the integration of refinery planning and crude-oil scheduling[J]. Computers & Chemical Engineering, 2011, 35(12): 2750-2766.
[30] Uribe-Rodríguez A, Castro P M, Guillén-Gosálbez G, et al. Assessment of Lagrangean decomposition for short-term planning of integrated refinery-petrochemical operations[J]. Computers & Chemical Engineering, 2023, 174: 108229. [30] Gao X, Zhao Y, Wang Y, et al. A Lagrange relaxation based decomposition algorithm for large-scale offshore oil production planning optimization[J]. Processes, 2021, 9(7): 1257.
本文系“流程工业”首发,未经授权不得转载。责任编辑:胡静,审核人:李峥
版权声明∶转载流程工业网内容,请在正文上方注明来源和作者,且不得对内容作实质性改动;微信公众号、头条号等新媒体平台,转载请联系授权。邮箱∶process@vogel.com.cn,电话:16601379371(同微信)
2026-02-11