随着流程工业向高效化、精细化和智能化方向不断 发展 [1],连续过程系统的建模与控制问题日益受到关注 [2]。 此类系统通常具有显著的非线性特性、强变量耦合关系以 及复杂的动态行为 [3]。在实际生产过程中,受反应机理复 杂、参数不确定性以及工况频繁切换等因素影响,构建高 精度、强鲁棒性的动态模型始终面临较大挑战,从而在一 定程度上制约了先进控制方法在流程工业中的推广与应 用。连续搅拌釜式反应器(CSTR)[4] 是流程工业中的典 型过程装置,其反应物浓度与反应器温度之间存在显著的 非线性耦合关系,系统动态行为复杂且对操作条件高度敏 感。因此,CSTR 常被用作验证过程系统建模与控制方法 有效性的标准系统。围绕 CSTR 系统开展相关研究,对于 推动智能控制方法在实际流程工业场景中的应用具有重 要的参考价值。
模型预测控制(MPC)[5] 由于具备显式处理多变量 耦合关系及系统约束的能力,已在流程工业控制领域获得 广泛应用。然而,基于机理模型的 MPC 方法对模型精度 高度依赖,当存在参数不确定性或未建模动态时,控制 性能变差。非线性系统建模方面展现出较强的表达能力。但此类方法通常依赖大量运行数据。
近年来,物理信息神经网络(PINN)[7] 通过在神经 网络训练过程中引入物理约束,在一定程度上缓解了对真 实运行数据的依赖,使模型在学习系统动态特性的同时 保持物理一致性。然而,传统 PINN 多采用前馈网络结构, 在刻画系统随时间演化的动态特征方面仍存在一定局限, 尤其是在涉及长时间序列或复杂动态行为的过程系统中, 其预测精度有待进一步提升 [8]。
在流程工业迈向“精益智能”的背景下,如何在保 证安全性的前提下减少运行波动、提升反应效率、降低能 耗,是控制领域的重要研究方向。同时,生产现场对模型 精度依赖程度高、人工整定工作量大,自适应性与泛化能 力不足等问题仍普遍存在,亟需更高水平的“智能赋能”。 基于此背景,本文从智能建模和精益控制两方面开展工 作,主要贡献如下:以连续搅拌釜式反应器(CSTR)为 研究对象,构建了一种融合物理约束、序列建模与预测控 制的框架。该框架以物理信息神经网络为基础,通过将系 统方程显式引入网络训练过程,使模型在仅需少量真实运 行数据的条件下即可准确刻画 CSTR 的动态行为。在此基础上,将 PINN-GRU 智能模型引入到模型预测控制(MPC) 框架中,实现对反应物浓度与反应器温度的高精度闭环轨 迹跟踪,显著提升了 MPC 在线求解的计算效率。
1 CSTR 动力学模型与控制目标
1.1 CSTR 动力学模型
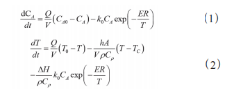
连续搅拌釜式反应器是流程工业中典型的反应装置, 其动态行为由物料平衡与能量平衡共同决定。本文考虑一 类单反应、充分混合条件下的 CSTR 系统,其主要状态变 量为反应物浓度和反应器温度。CA (t) 表示反应物的浓度,T(t) 表示反应物温度, 控制输入 U(t) 为冷却介质温度。在忽略空间梯度并假设 反应器内物料充分混合的条件下,CSTR 系统的动态行为 可由以下质量守恒与能量守恒方程描述:

其中,Q 为进料流量,V 为反应器体积,CA0 和 T0 分 别表示进料浓度与进料温度,k0、E、R分别为反应速率常数、 活化能和气体常数;ΔH 为反应焓变,ρ 和 Cp 分别表示 反应物密度与定压比热容;hA 表示换热面积与换热系数 的乘积。
为用于后续基于 PINN-GRU 的离散时间预测建模,采 用采样周期 τ 对上述连续系统进行离散化,可得到形式为
其中,xk=[CK,TK]T 表示第 k 个采样时刻的系统状态, UK 为对应时刻的控制输入,f(xk,uk ) 表示由 CSTR 非线性 动力学所决定的状态转移映射。
1.2 控制目标
在连续搅拌釜式反应器的实际运行过程中,反应物 浓度与反应器温度是衡量产品质量、反应效率以及系统 安全性的关键指标。本文旨在设计一种基于模型预测控 制的闭环控制策略,在满足系统约束的前提下,实现对 反应物浓度和反应器温度的跟踪控制。设 x(t)=[CA (t),T(t)]T 表示系统状态向量,xr (t) 表示对应的参考轨迹,控制目标 可概括为在闭环运行过程中最小化系统状态与参考轨迹 之间的偏差,并抑制控制输入的剧烈变化,从而保证系统 运行的安全性与稳定性。
2 基于 PINN-GRU 网络的 CSTR 系统动力学建模
为在模型预测控制框架中获得兼具物理一致性与时 序表达能力的动态预测模型,在已有物理信息神经网络 (PINN)建模方法的基础上,引入门控循环单元(GRU), 构建 PINN-GRU 动态模型,用于连续搅拌釜式反应器 (CSTR)系统的状态预测。
2.1 门控循环单元模型
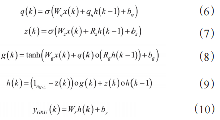
GRU 网络是一种循环网络,其独特的神经元结构能够 有效缓解传统循环神经网络中常见的梯度消失的问题。作 为长短期记忆网络(Long Short-Term Memory,LSTM)的 简化变体,GRU 在保持较强时序建模能力的同时,具有参 数数量更少、网络结构更为简洁以及计算效率更高等优点。 本文选取 GRU 作为时序建模单元,其模型输入向量定义为
其中 k 为当前离散采样时间,nB 定义模型动力学的 阶数。GRU 网络的每个神经元由三个门组成,其结构示 意图如图 1 所示。
重置门 q 用于丢弃神经元在隐藏状态 h(k-1) 之后的不 必要信息。更新门 z 从参数向量 XGRU (k) 中选择哪些新信 息应该添加到隐藏状态中。最后,候选状态门 g 计算新隐 藏状态的候选,用这个候选来计算当前的隐藏状态。整个 GRU 网络有 nN 个神经元,因此,门和隐藏状态可以表示 为长度为 nN×1 的向量 q、z、g 和 h。网络的权值矩阵为
采样时间 k,确定每个门的输出,并且计算当前的 隐藏值 h
其中,输出权重向量命名为 Wy,长度为 n(N×1),输 出偏置表示为 by,是一个标量。
2.2 PINN-GRU 模型结构
设 CSTR 系统的连续时间动力学模型为 :
其中 x(t) 为系统状态,u(t) 为控制输入。 PINN-GRU 模型通过神经网络近似系统状态关于时 间的映射关系,表示为 :
其中 Nθ (t,x0,u) 表示参数为θ 的 PINN-GRU 网络。 与传统 PINN 中采用前馈神经网络作为近似器不同, 本文在网络结构中引入 GRU 层,用于对时间相关信息和 控制输入序列进行编码。先使用多层全连接网络学习独立 样本点的数值特征,再使用 GRU 网络学习多个样本点间 的时序特征。PINN-GRU 网络结构示意如图 2 所示。


2.4.1 输入 / 输出定义与归一化处理
PINN-GRU 网络的输入向量为:
其中包括时间,初始状态与控制输入。输出为对应时间的系统预测状态:
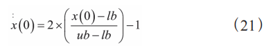
由于浓度 CA( 约 0.3-0.9mol/L) 与温度 T( 约 320- 370k) 存在量级差异,网络训练前首先对输入进行归一化 处理:
lb,ub 分别为输入向量的上限与下限。
2.4.2 前馈网络与
GRU 层的具体结构 为保证 PINN-GRU 模型能够在实际训练中有效表 达 CSTR 的动力学特征,本研究在网络实现层面对前馈 部分与 GRU 部分的超参数配置进行了如下设置。前馈 神经网络(FCN)采用三层隐藏层结构,每层包含 64 个神经元,均使用 tanh 激活函数,用于提取输入变量 之间的静态非线性特征。FCN的输出作为高维特征表示, 进一步输入至 GRU 层。GRU 层在网络中同样包含 64 个神经元。
2.4.3 网络结构与超参数设置
本节主要超参数设置如表 1 所示。

3 基于 PINN-GRU 模型的模型预测控制
在获得高精度的 PINN-GRU 动力学预测模型后,本 文进一步将其嵌入模型预测控制框架中,构建基于 PINNGRU 的非线性模型预测控制方法,用于 CSTR 系统的闭 环轨迹跟踪控制。
3.1 MPC 控制器设计 在本文中,PINN-GRU 模型用于替代传统机理模型, 作为 MPC 的预测模型,从而在保持物理一致性的同时, 提高对 CSTR 系统非线性动态特性的刻画能力。
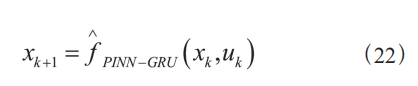
在离散时间框架下,设采样时刻为 k,系统当前状态 为 xk,控制输入为 uk 。PINN-GRU 模型给出的系统状态 预测形式可表示为:
其中
表示由 PINN-GRU 模型所描述的非 线性状态转移映射。 在 MPC 预测时域内,利用 PINN-GRU 模型对系统状 态进行递推预测,得到预测状态序列:
其中,Np 为预测时域长度,符号 xk+i 表示在时刻 k 基 于当前状态预测的第 k+i 步系统状态。控制采用滚动时域 策略,即在每个采样时刻仅将优化得到的第一个控制输入 uk 施加到系统中,其余控制输入在下一采样时刻重新计算。
为实现反应物浓度和反应器温度对参考轨迹的准 确跟踪,同时避免控制输入的剧烈变化,本文构建如下 MPC 优化问题:
其中,
表示对应时刻的参考轨迹,Q 和 R 分别为 状态误差权重矩阵和控制输入权重矩阵,用于平衡跟踪精 度与控制能耗之间的关系。xmin,xmax 和 umin,umax 分别表示系 统状态和控制输入的上下限。
3.2 在线求解流程
基于上述预测模型、目标函数和约束条件,MPC 的在线实现流程可概括如下:1)在当前采样时刻 k,测量系 统状态 xk ;2)以 xk 作为初始条件,利用 PINN-GRU 模型 预测预测时域内的系统状态 (25) ;3)求解带约束的优化 问题 (24),获得最优控制输入序列;4)将所求得序列中 的第一个控制输入 uk|k 施加到实际系统;5)进入下一采样 时刻 k+1,转到步骤(1)。
4 数值仿真结果与分析
为验证本文所提出的基于 PINN-GRU 的模型预测控 制方法的有效性,选取 CSTR 系统作为仿真对象。仿真研 究主要包括以下两个方面:1) 开环预测性能评估:在给定 初始条件和控制输入下,比较 PINN-GRU 模型与 PINN 模 型和局部线性化模型的预测精度;(2) 闭环控制性能评估: 将 PINN-GRU 动态模型嵌入 MPC 框架,验证其在轨迹跟 踪任务中的闭环控制效果与计算效率。CSTR 系统的参数 如表 1 所示。系统状态变量和控制输入均受到物理和操作 条件约束,其具体取值范围设置如表2。
4.1 PINN-GRU 网络结构与训练设置
本文采用物理信息神经网络对 CSTR 系统进行建模, 并在网络结构中引入门控循环单元(GRU),以增强模型 对时间相关性和隐藏动态特征的建模能力。网络输入包括 时间、初始状态以及控制输入,输出为反应器在对应输入 时间的反应物浓度和反应器温度。训练过程中,损失函数 由数据一致项与物理约束项共同构成,其中物理约束项来 源于 CSTR 系统的质量与能量守恒微分方程。
在采样策略上,初始条件点与物理配置点均采用拉 丁超立方采样(LHS)生成。其中,初始条件样本数量设 为 100 个,物理约束采样点数量为 10 000 个,覆盖了时 间 - 状态 - 控制输入的联合空间。该采样方式在有限样本 规模下有效提高了高维空间的覆盖均匀性,为 PINN-GRU 的稳定训练提供了保障。网络训练采用 L-BFGS 优化算 法进行全批量迭代更新,学习率设置为 1,总训练轮数为 50 000 轮。训练过程中损失函数随迭代次数单调下降,从 初始的 4.08×104 逐步降低至 3.25×10-4,表明网络在满足 物理约束的同时逐渐收敛至系统动力学的一致解。
4.2 PINN-GRU 模型预测性能分析
为评估 PINN-GRU 动态模型对 CSTR 系统动力学的 刻画能力,本文将其与 PINN 动态模型和基于局部线性化 方法构建的线性动力学模型在相同条件下进行了对比。
在实验中,首先给定相同的初始状态与相同的控制输入序列,随后分别采用三种模型进行开环预测,并将各 自的预测轨迹与真实系统的真实轨迹进行比较。预测误差 通过多种指标进行定量评估,包括平均绝对误差(MAE) 和均方根误差(RMSE)。

4.2.1 实验设置
为保证不同预测模型之间比较的公平性,本节对实 验条件进行了统一设置。首先,开环预测的初始状态选取 为 x0=[0.0367,356.85]T,其中第一维为反应物浓度 CA, 第 二维为反应器温度 T。采用一致的采样时间 0.1 s 与预测 步长 100 步;控制输入保持为稳态点,以避免附加的控制 扰动对预测性能带来影响。对比对象包括本文提出的动态 模型以及基于局部线性化方法构建的线性模型,两者在完 全一致的外部条件下进行开环滚动预测,并将所得预测轨 迹与真实 CSTR 系统的机理模型响应进行比较,从而系统 评估模型的动力学刻画能力与预测精度。
4.2.2 实验结果与分析
图3展示了三种模型在相同条件下生成的开环预测 轨迹。总体结果表明,PINN-GRU 的开环预测轨迹与真实 系统运行状态轨迹偏差很小,在长时间内保持良好的数值 稳定性;PINN 模型在整体趋势上能够跟踪系统动态,但 预测偏差较大;局部线性化模型的预测在长时段上偏离真 实轨迹,在浓度和温度维度上均表现出明显建模误差。
从表3可以看出,PINN-GRU 模型在 CSTR 系统中 表现出较高精度的动态预测能力;相比 PINN 模型与局部线性化模型,PINN-GRU 模型的预测误差降低了 1 ~ 3 个 数量级。PINN-GRU 预测值与真实系统的轨迹几乎重合, 为后续在 MPC 中实现高精度闭环控制奠定了可靠基础。


4.3.1 闭环控制性能对比
图4展示了浓度 CA 与温度 T 在 MPC 控制下的闭环 运行结果。其中包含 4 条关键曲线:1) 蓝色实线 (CA ref,Tref ): 设定的参考轨迹;2) 红色虚线 (CA PINN-GRU,TPINN-GRU) ): 为在所 提出的 PINN-GRU-MPC 控制器作用下的系统轨迹 ;3) 红 色点线 (CA PINN,TPINN ) :为 PINN-MPC 控制器作用下的系统 轨迹 ;4) 红色点划线 (CA RK4,TRK4 ) :为基于四阶龙格 – 库塔 方法的 MPC 作用下的系统轨迹。
从图 4 可以观察到,3 种方法在参考轨迹阶跃变化 时均能实现闭环跟踪,但 PINN-MPC 的控制性能明显比 PINN-GRU-MPC 与 RK4-MPC 差。在 10 s 的浓度升高 阶段和 20 s 的恢复阶段,PINN-MPC 控制下的浓度与温 度轨迹在上升与下降阶段均表现出更明显的偏差。而所 构建的 PINN-GRU-MPC 具有可靠的跟踪精度和稳定性,在参考轨迹变化过程中表现出及时、平滑且无明显超调 的响应。这种差异说明,传统 PINN 在建模 CSTR 这类 具有不同数量级状态的系统动态过程时,难以充分捕捉 状态演化中的时序相关性,在长预测区间内容易产生累 积误差,进而在闭环控制下放大为明显的温度与浓度跟踪偏差。

4.3.2 单步预测效率分析 为了验证 PINN-GRU 作为预测模型在 MPC 在线计 算中的可行性,本节在表 4 对比了 PINN-GRU-MPC 与 PINN-MPC 和 RK4-MPC 方法求解的优化问题的平均单次 优化问题求解耗时。

结果表明,PINN-GRU-MPC 的优化问题求解耗时约 为 RK4-MPC 方法的 58.9%,与 PINN-MPC 方法求解速度 相当。表明所提出方法在保持预测精度的同时兼具较高的 求解效率。
5 结论
本文面向连续搅拌釜式反应器(CSTR)这一典型强 非线性过程,提出了一种融合物理信息神经网络与门控循 环单元的 PINN-GRU 动态建模方法,并将其嵌入模型预 测控制框架,实现了对浓度与温度的高精度闭环轨迹跟 踪。通过在模型训练中显式引入质量守恒与能量守恒方 程,所构建的 PINN-GRU 模型在少量运行数据的条件下 亦能有效学习系统动力学,并在开环预测中表现出极高 的精度。在闭环控制部分,所提出的 MPC 控制性能与基 于 RK4 的 MPC 相近,明显优于 PINN-MPC。PINN-GRUMPC 的优化问题平均单次求解耗时小于 RK4-MPC 优化问题的耗时,且与 PINN-MPC 计算速度相当,表明所提 方法兼具求解效率与预测精度。
从流程工业“精益智能”应用角度看,该方法能够 有效减少系统运行波动、提升预测精度,实现“精益运 营”的目标;同时,通过以物理约束增强神经网络建模能 力、以 MPC 实现自适应优化决策,能够明显降低对人工 干预和经验模型调整的依赖,为复杂过程的“智能赋能” 提供可行的解决方案。
参考文献:
[1] Yang T, Yi X, Lu S, et al. Intelligent manufacturing for the process industry driven by industrial artificial intelligence[J]. Engineering, 2021, 7(9): 1224-1230.
[2] Bloor M, Mowbray M, del Rio Chanona E A, et al. A survey and tutorial of reinforcement learning methods in process systems engineering[J]. Computers & Chemical Engineering, 2025: 109515.
[3] Camacho E F, Bordons C. Nonlinear model predictive control[M]//Model predictive control. London: Springer London, 2007: 249-288.
[4] Froment G F, Bischoff K B, De Wilde J. Chemical reactor analysis and design[M]. New York: Wiley, 1990.
[5] Qin S J, Badgwell T A. A survey of industrial model predictive control technology[J]. Control engineering practice, 2003, 11(7): 733-764.
[6] Åkesson B M, Toivonen H T. A neural network model predictive controller[J]. Journal of Process Control, 2006, 16(9): 937-946.
[7] Raissi M, Perdikaris P, Karniadakis G E. Physics-informed neural networks: A deep learning framework for solving forward and inverse problems involving nonlinear partial differential equations[J]. Journal of Computational physics, 2019, 378: 686-707.
[8] Nicodemus J, Kneifl J, Fehr J, et al. Physics-informed neural networks-based model predictive control for multi-link manipulators[J]. IFAC-PapersOnLine, 2022, 55(20): 331-336.
[9] Jin L, Liu L, Wang X, et al. Physical-informed neural network for MPC-based trajectory tracking of vehicles with noise considered[J]. IEEE Transactions on Intelligent Vehicles, 2024, 9(3): 4493-4503.
本文系“流程工业”首发,未经授权不得转载。责任编辑:胡静,审核人:李峥
版权声明∶转载流程工业网内容,请在正文上方注明来源和作者,且不得对内容作实质性改动;微信公众号、头条号等新媒体平台,转载请联系授权。邮箱∶process@vogel.com.cn,电话:16601379371(同微信)